原理:比较两个相邻的元素,将值大的元素交换至右端。
思路:依次比较相邻的两个数,将小数放在前面,大数放在后面。即在第一趟:首先比较第1个和第2个数,将小数放前,大数放后。然后比较第2个数和第3个数,将小数放前,大数放后,如此继续,直至比较最后两个数,将小数放前,大数放后。重复第一趟步骤,直至全部排序完成。
举例说明:要排序数组:int[] arr={6,3,8,2,9,1};
第一趟排序:
第一次排序:6和3比较,6大于3,交换位置: 3 6 8 2 9 1
第二次排序:6和8比较,6小于8,不交换位置:3 6 8 2 9 1
第三次排序:8和2比较,8大于2,交换位置: 3 6 2 8 9 1
第四次排序:8和9比较,8小于9,不交换位置:3 6 2 8 9 1
第五次排序:9和1比较:9大于1,交换位置: 3 6 2 8 1 9
第一趟总共进行了5次比较, 排序结果: 3 6 2 8 1 9
第二趟排序:
第一次排序:3和6比较,3小于6,不交换位置:3 6 2 8 1 9
第二次排序:6和2比较,6大于2,交换位置: 3 2 6 8 1 9
第三次排序:6和8比较,6大于8,不交换位置:3 2 6 8 1 9
第四次排序:8和1比较,8大于1,交换位置: 3 2 6 1 8 9
第二趟总共进行了4次比较, 排序结果: 3 2 6 1 8 9
第三趟排序:
第一次排序:3和2比较,3大于2,交换位置: 2 3 6 1 8 9
第二次排序:3和6比较,3小于6,不交换位置:2 3 6 1 8 9
第三次排序:6和1比较,6大于1,交换位置: 2 3 1 6 8 9
第二趟总共进行了3次比较, 排序结果: 2 3 1 6 8 9
第四趟排序:
第一次排序:2和3比较,2小于3,不交换位置:2 3 1 6 8 9
第二次排序:3和1比较,3大于1,交换位置: 2 1 3 6 8 9
第二趟总共进行了2次比较, 排序结果: 2 1 3 6 8 9
第五趟排序:
第一次排序:2和1比较,2大于1,交换位置: 1 2 3 6 8 9
第二趟总共进行了1次比较, 排序结果: 1 2 3 6 8 9
最终结果:1 2 3 6 8 9
由此可见:N个数字要排序完成,总共进行N-1趟排序,每i趟的排序次数为(N-i)次,所以可以用双重循环语句,外层控制循环多少趟,内层控制每一趟的循环次数,即
for(int i=1;i<arr.length;i++){
for(int j=1;j<arr.length-i;j++){
//交换位置
}
冒泡排序的优点:每进行一趟排序,就会少比较一次,因为每进行一趟排序都会找出一个较大值。如上例:第一趟比较之后,排在最后的一个数一定是最大的一个数,第二趟排序的时候,只需要比较除了最后一个数以外的其他的数,同样也能找出一个最大的数排在参与第二趟比较的数后面,第三趟比较的时候,只需要比较除了最后两个数以外的其他的数,以此类推……也就是说,没进行一趟比较,每一趟少比较一次,一定程度上减少了算法的量。
用时间复杂度来说:
1.如果我们的数据正序,只需要走一趟即可完成排序。所需的比较次数C和记录移动次数M均达到最小值,即:Cmin=n-1;Mmin=0;所以,冒泡排序最好的时间复杂度为O(n)。
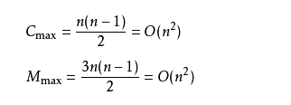
2.如果很不幸我们的数据是反序的,则需要进行n-1趟排序。每趟排序要进行n-i次比较(1≤i≤n-1),且每次比较都必须移动记录三次来达到交换记录位置。在这种情况下,比较和移动次数均达到最大值:

冒泡排序的最坏时间复杂度为:O(n2) 。
综上所述:冒泡排序总的平均时间复杂度为:O(n2) 。
代码实现:
/*
* 冒泡排序
*/
public class BubbleSort {
public static void main(String[] args) {
int[] arr={6,3,8,2,9,1};
System.out.println("排序前数组为:");
for(int num:arr){
System.out.print(num+" ");
}
for(int i=0;i<arr.length-1;i++){//外层循环控制排序趟数
for(int j=0;j<arr.length-1-i;j++){//内层循环控制每一趟排序多少次
if(arr[j]>arr[j+1]){
int temp=arr[j];
arr[j]=arr[j+1];
arr[j+1]=temp;
}
}
}
System.out.println();
System.out.println("排序后的数组为:");
for(int num:arr){
System.out.print(num+" ");
}
}
}
附:
选择排序:
//选择排序
public class SelectionSort {
public static void main(String[] args) {
int[] arr={1,3,2,45,65,33,12};
System.out.println("交换之前:");
for(int num:arr){
System.out.print(num+" ");
}
//选择排序的优化
for(int i = 0; i < arr.length - 1; i++) {// 做第i趟排序
int k = i;
for(int j = k + 1; j < arr.length; j++){// 选最小的记录
if(arr[j] < arr[k]){
k = j; //记下目前找到的最小值所在的位置
}
}
//在内层循环结束,也就是找到本轮循环的最小的数以后,再进行交换
if(i != k){ //交换a[i]和a[k]
int temp = arr[i];
arr[i] = arr[k];
arr[k] = temp;
}
}
System.out.println();
System.out.println("交换后:");
for(int num:arr){
System.out.print(num+" ");
}
}
}



Asynq任务框架
MCP智能体开发实战
WEB架构
安全监控体系



